AI 생태계 변화: 딥시크가 열어가는 오픈소스 AI의 새로운 시대
최근 딥시크(DeepSeek)의 등장으로 인해 AI 생태계가 빠르게 변화하고 있습니다.
AI 기술은 오랫동안 OpenAI, 구글, 메타 등 빅테크 기업들이 주도하는 폐쇄적인 방식으로 운영되어 왔습니다.
그러나 딥시크 R1 모델의 출현으로 AI 기술이 개방형(오픈소스) 생태계로 이동하는 계기가 마련되고 있습니다.
이제 누구나 AI 모델을 활용하고 발전시킬 수 있는 시대가 다가오고 있으며, 오픈소스 AI 모델이 기존 AI 시장에 어떤 영향을 미칠지가 중요한 이슈로 떠오르고 있습니다.
이번 포스팅에서는 AI 생태계의 변화, 오픈소스 AI 모델이 가져올 변화, 그리고 AI 시장의 미래 전망을 분석해보겠습니다.

목차
- 딥시크가 AI 생태계에 미치는 영향
- 오픈소스 AI 모델이 가져올 변화
- 기존 빅테크 AI 기업의 대응 전략
- 투자자 관점에서 본 오픈소스 AI 모델과 AI 생태계 변화
- 마무리 – AI 시장의 미래와 투자 전략
1. 딥시크가 AI 생태계에 미치는 영향
✅ 1) AI 시장의 기존 구조
✔ 폐쇄형 AI 모델이 AI 시장을 지배
✔ AI 기업들이 독점적으로 데이터와 모델을 소유
✔ 사용자는 제한된 방식으로만 AI 서비스를 이용 가능
💡 예시:
✔ OpenAI (GPT-4, GPT-5) → 폐쇄형 AI 모델로 기업 중심 운영
✔ 구글 (Gemini AI) → 검색 및 생산성 도구에 AI를 내재화
✔ 메타 (LLaMA 시리즈) → 연구 중심의 AI 모델을 제공하나, 상업적 사용에는 제한
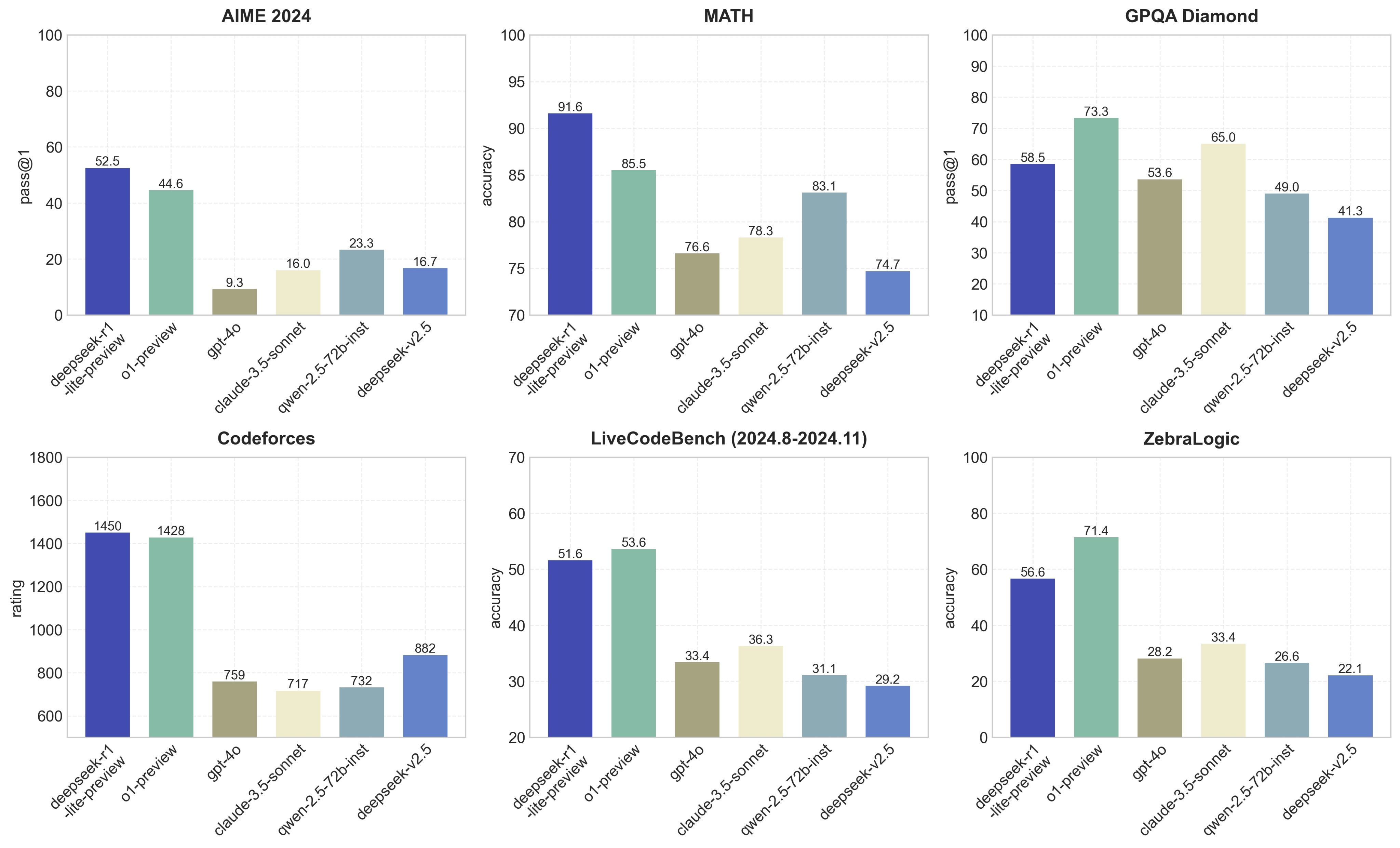
✅ 2) 딥시크(DeepSeek)의 등장과 오픈소스 AI 모델 확산
✔ 딥시크 R1은 오픈소스 기반 AI 모델
✔ 누구나 접근 가능하며, 연구 및 개발 용도로 자유롭게 활용 가능
✔ 비용 절감 및 AI 접근성 향상으로 다양한 산업에서 활용 가능
💡 오픈소스 AI의 장점:
✔ 기술 혁신 촉진 → 다양한 개발자와 연구자가 참여하여 기술 발전 가속화
✔ 비용 절감 → AI 모델을 구매할 필요 없이 자유롭게 사용 가능
✔ 투명성 강화 → AI 모델의 작동 방식을 이해하고 최적화 가능
💡 딥시크가 오픈소스 AI 시장을 개척하는 방식:
✔ 저비용 AI 모델 제공 → 기존 AI 비용 구조를 혁신
✔ 오픈소스 커뮤니티 형성 → 글로벌 개발자들이 협업 가능
✔ 스타트업과 중소기업도 AI 기술을 활용할 수 있도록 지원
2. 오픈소스 AI 모델이 가져올 변화
✅ 1) AI 기술의 민주화(Democratization of AI)
✔ 누구나 AI 모델을 활용하고, 맞춤형 AI 솔루션을 개발할 수 있음
✔ 기업뿐만 아니라 개인 연구자, 중소기업도 고성능 AI 활용 가능
✔ AI 기술 격차가 줄어들면서 산업 전반의 AI 도입 증가
💡 예시:
✔ 스타트업 → AI 기술을 활용한 맞춤형 서비스 개발
✔ 연구 기관 → 새로운 AI 모델을 연구하고 실험하는 데 활용
✔ 교육 기관 → AI 기술을 쉽게 접근하여 학습 도구로 사용 가능
✅ 2) AI 시장의 경쟁 구도 변화
✔ 기존 빅테크 기업(OpenAI, 구글, 메타 등)의 독점 구조 약화
✔ AI 기술이 다양한 산업에서 확산되면서 경쟁이 심화될 가능성
✔ 기업들이 자체적으로 AI 모델을 개발하고 최적화하는 방향으로 전환 가능
💡 미래 전망:
✔ AI 기업들은 오픈소스 AI 모델과의 차별성을 확보하기 위해 맞춤형 솔루션 제공 강화
✔ AI 클라우드 서비스 시장이 확장되면서 SaaS(Software as a Service) 형태의 AI 솔루션이 증가할 것
✔ AI 모델을 자체적으로 최적화하고 운영하는 기업이 늘어날 가능성 높음
3. 기존 빅테크 AI 기업의 대응 전략
딥시크와 같은 오픈소스 AI 모델이 AI 시장을 변화시키는 가운데, 기존 AI 대기업들은 어떻게 대응하고 있을까요?
✅ 1) OpenAI(GPT)의 대응 전략
✔ GPT 모델을 더욱 폐쇄적으로 운영하며 기업 고객 중심으로 변화
✔ 기업 및 기관을 대상으로 맞춤형 AI 솔루션 제공
✔ OpenAI API 및 ChatGPT Plus 같은 구독 모델 강화
💡 예시:
✔ OpenAI는 GPT-4를 폐쇄적으로 운영하며, API 기반의 상업적 솔루션 제공을 강화
✔ 마이크로소프트와 협업하여 Azure AI 서비스를 확대하고 기업 시장 공략
✅ 2) 구글(Gemini AI)과 메타(LLaMA)의 대응 전략
✔ 구글 → Gemini AI를 통해 검색 및 업무 도구에 AI 적용 확대
✔ 메타 → LLaMA 시리즈를 연구 목적의 오픈소스로 제공하지만 상업적 활용에는 제한
💡 예시:
✔ 구글은 AI 기반 검색 기술을 강화하며, 구글 워크스페이스에 AI 기능 추가
✔ 메타는 LLaMA 모델을 오픈소스로 제공하지만, 라이선스를 제한하여 기업의 활용을 조정
4. 투자자 관점에서 본 오픈소스 AI 모델과 AI 생태계 변화
AI 시장의 변화는 투자자들에게도 중요한 기회와 리스크를 제공합니다.
✅ 1) 오픈소스 AI 모델 투자 시 고려할 점
✔ AI 모델이 지속적으로 업데이트되고 지원받을 수 있는 구조인지 확인
✔ 기업이 오픈소스 모델을 활용하여 수익을 창출할 수 있는 비즈니스 모델을 보유하고 있는지 검토
✅ 2) AI 시장의 경쟁 변화가 미치는 영향 분석
✔ AI 시장에서 오픈소스 모델이 얼마나 많은 점유율을 차지할지 예상 필요
✔ 기존 AI 대기업들이 어떻게 대응할지 지속적으로 모니터링해야 함
💡 투자자 TIP:
✔ AI 산업 내에서 오픈소스 모델이 성장할 가능성이 있는지 분석 필요
✔ AI 기업들의 기술 개발 방향과 전략을 면밀히 모니터링할 것
5. 마무리 – AI 시장의 미래와 투자 전략
💡 AI 생태계 변화 핵심 정리:
✔ 오픈소스 AI 모델의 등장으로 AI 기술의 민주화가 가속화되고 있음
✔ 딥시크 같은 오픈소스 AI 기업들이 기존 빅테크 기업들과 경쟁하며 AI 시장의 새로운 변화를 유도
✔ AI 기업들은 차별화된 솔루션 제공을 통해 수익 모델을 다각화하고 있음
AI 시장은 빠르게 변화하고 있으며, 오픈소스 AI 모델이 기존 AI 시장의 패러다임을 바꿀 가능성이 높습니다.
지금까지 살펴본 내용을 바탕으로 AI 시장의 흐름을 분석하고, 현명한 투자 전략을 수립하세요! 🚀📈
역사
역사 입니다.
story.kcd-data.com